干货!《天之禁》暴击流的运算法则解析
《天之禁》开测已有一段时日,目前游戏内流派已经多不胜数,其中暴击流的玩家还是非常多的。为什么选择暴击率?因为大多玩家都喜欢那个黄色的暴击数值,攻击1.5倍的伤害,如果暴击流的玩家100%暴击,还能愉快地玩耍吗?
【如何做到暴击率100%】
由于神将、灵霄、沉香的属性限制,故很难叠到100%,所以这里,只对飞翎及七杀做研究。
1、初始暴击率2%;
2、装备含有暴击率,取紫色最高值2.6%;
3、装备含有暴击等级,取紫色最高值120;
4、敏捷转化:1敏捷=0.004暴击率;
5、仙灵有敏捷加成,敏捷有暴击率加成;
6、神玉镶嵌及注灵;
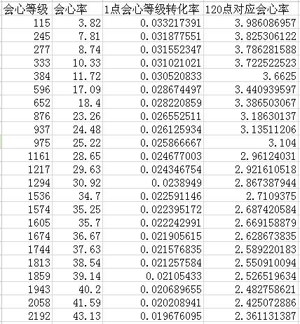
初始暴击率为2%,10件暴击率的装备为26%,5000敏捷可转化为25%暴击率,所以可达到53%暴击率。如果要达到100%暴击率,那么需要暴击等级转化的暴击率为47%。目前,经过实际验证后的数据如下图。
(注:会心等级的加成等同于暴击等级。)
数据叠加后,理论来说,暴击率达到47%的1点转化率应该为0.0165至0.0175之间,这里取0.017。那么就需要2764.7的暴击等级。
【方式一】
当前等级下,一件装备的暴击等级紫色最高为120,10件为1200,那么剩下的1565点暴击等级怎么办?没关系,有神玉。5级神玉的加成为180%,120暴击等级,镶嵌5级暴击神玉,额外提高120*180%,即216暴击等级,相当于要镶嵌7块暴击等级的5级神玉,额外1块注灵为暴击等级的任意神玉。
【方式二】
注灵暴击率,注灵1次额外提高1.04暴击率*注灵5块神玉为5.2%暴击率,加上之前的53%暴击率,还需要42%暴击率,那么42%的暴击率需要大约2100的暴击等级,紫色融魂120的暴击等级装备10件,1200点,额外5级暴击等级的神玉镶嵌需要达到900以上,那么镶嵌4块5级暴击神玉就可以了,也可以选择更多的攻击神玉,来提高基础伤害。
【番外】
七杀的技能雷闪有额外提高攻击15%,提高暴击率20%的效果,雷闪(强化)可额外提高30%攻击,提高暴击率25%,那么只需要叠加到75%至80%的暴击率,就能轻松达到100%。你心动了?只要你去做了,那么,下一个100%暴击的美男子就是你!
关于天之禁的新闻
- (2019-06-18) 《天之禁2国际版》惊现农产品摊位,生态美食马上到家!
- (2019-03-06) 《天之禁2国际版》戏精降临 遭全服玩家围攻
- (2017-03-13) 预创建火爆 海量福利打开《天之禁X》
- (2017-03-07) 《天之禁X》定档3·17 四大变革诠释X计划
- (2017-03-01) 绝密测试即将开启 《天之禁》全新内容首曝
- 经典MMO焕新!《永恒之塔》重制版本正式上线
- 《暗黑4》S13赛季所有暗金掉落位置,建议收藏~
- 月底扎堆!备受期待MMO即将内测!5月新增搬砖网游一览
- 正惊GIF:开门送温暖!圣诞服装美女敲门,小伙没穿衣服竟手足无措
- 定档!《星辰变:归来》6 月 4 日全平台首发!
- 爷青回还是新神登基?近期热门网游大盘点,权游MMO已公测!
- 《暗黑4》战争计划加点详细解析,萌新少走80%弯路
- Forza Horizon 6 所有摄影地点汇总
- 一看吓一跳:雷死人不偿命的囧图集(1105)
- 热点预告:2026腾讯游戏发布会开幕,《龙之谷怀旧服》《流放2》《解限机》大更新
- 《暗黑4》S13赛季所有暗金掉落位置,建议收藏~
- 十年老MMO又出新作?支持三端互通!盘点5月外服端游
- <洛克王国:世界>最新孵蛋组合+规则攻略!洛克王国世界孵蛋攻略,方神陨落!机械方方已经移除妖精组,附公…
- 《洛克王国世界》347个全精灵图鉴,更新至公测版本!附宠物进化链、资质对比等【洛克王国世界】
- 《暗黑4》战争计划加点详细解析,萌新少走80%弯路
- 《魔兽世界》时光服:裁缝1-450满级,手把手教你最省钱的冲级方法
- 原神尼可养成必备!新一代人权卡角色,入手前先准备好这些
- 【魔兽世界】正式服12.05全职业40专精天赋推荐!天赋图及代码分享,收藏备用
- 《暗黑4》无限刷皇家宝石+赫拉迪姆宝石获取方式
- 「纯欲天花板」2B花嫁撕破次元!白丝过膝陷肉感,透粉脚底VS发光蛮腰の双重暴击






