本文由第三方AI基于17173文章http://news.17173.com/content/2014-09-15/20140915144314871.shtml提炼总结而成,可能与原文真实意图存在偏差。不代表网站观点和立场。推荐点击链接阅读原文细致比对和校验。
美大学调查:使命召唤和GTA发售影响犯罪率?
2014-09-15 14:43:14
神评论
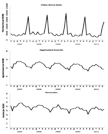
美国维拉诺瓦大学与罗格斯大学近日共同发表了游戏与****发生率关系的研究报告“Violent Video Games and Real-World Violence: Rhetoric Versus Data”。该报告统计了2007年至2011年游戏销量与杀人/****数量,并以时间为横轴进行对比。
该报告的著作人之一Patrick Markey表示,调查结果显示游戏销量急速上升时,同期的杀人和暴力案件数量明显减少。尤其是在高销量大作《使命召唤》和《侠盗猎车手》发售后的三个月期间,犯罪率均有明显下降。
来源:Sina
【来源:】




